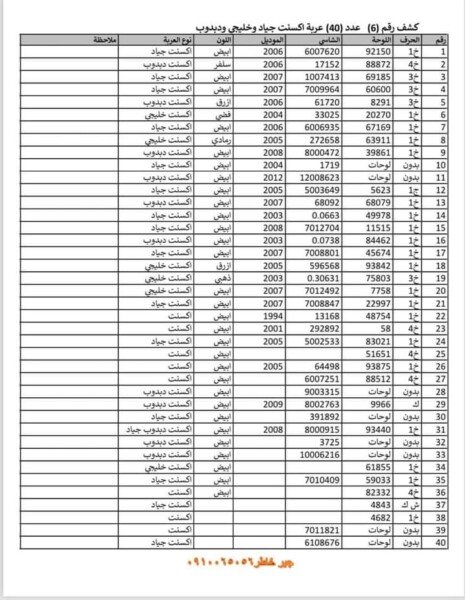
أبحث عن سيارتك هنا… (أصداء سودانية) تنشر قوائم السيارات المستردة من المليشيا
*فيما يلي تنشر (أصداء سودانية) قوائم السيارات التي قامت الشرطة بجمعها من شوارع مدينة أم درمان, والتي كانت قد نهبتها المليشيا المتمرة من منازل المواطنين
*على أصحاب العربات المنشور نوعها وأرقام لوحاتها في هذه القوائم مراجعة النيابة وشرطة أمدرمان لأستلامها بعد التحقق من ملكيتها
غ

